发布时间:2025-10-31 18:00 浏览次数:
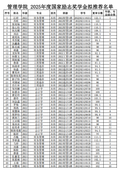
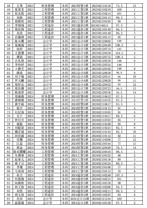
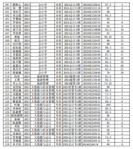
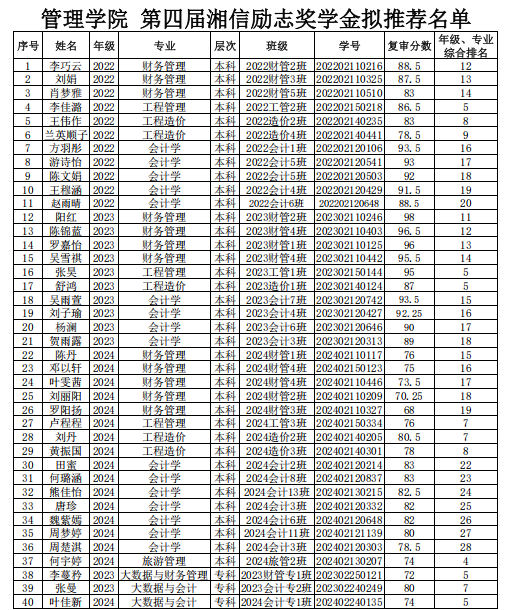
根据国家励志奖学金、湘信励志奖学金评审相关文件精神及评审程序要求,坚持“公开、公平、公正、择优”原则,经学生自主申请、班级评审小组民主评议、学院评审小组审议,现将我院2024-2025学年度国家励志奖学金、湘信励志奖学金拟推荐学生名单进行公示(名单附后)。
公示时间:2025年10月31日—11月6日(共5个工作日)。




如对推荐名单有异议,请在公示期内通过以下方式实名反映:
联系电话:13975152968(管理学院党总支书记杨继梅)
电子邮箱:314098598@qq.com
办公地址:汇智楼207(需提交书面材料并签字)。
管理学院
2025年10月31日
COPYRIGHT 2004-2018 湖南信息学院 备案序号:湘教QS4_201212_010026 | 湘ICP备05002975号/许可证号:A10010065
地址:国家级长沙经济技术开发区毛塘工业园湖南信息学院(邮编:410151)| 招生热线:0731-84098666 传真:0731-84098777 联系信箱webmaster@hnuit.edu.cn